芯城品牌采购网
25885
半波整流是利用二极管的单向导电性进行整流的最常用的电路,常用来将交流电转变为直流电。
半波整流电路如图所示。

它由电源变压器Tr整流二极管D和负载电阻RL组成,变压器的初级接交流电源,次级所感应的交流电压为
其中U2m为次级电压的峰值,U2为有效值。
电路的工作过程是:在u2 的正半周(ωt = 0~π),二极管因加正向偏压而导通,有电流iL流过负载电阻RL。由于将二极管看作理想器件,故RL上的电压 uL与u2的正半周电压基本相同。
在u2的负半周(ωt =π~2π),二极管D因加反向电压而截止,RL 上无电流流过,RL 上的电压uL = 0。可画出整流波形如图所示。
可见,由于二极管的单向导电作用,使流过负载电阻的电流为脉动电流,电压也为一单向脉动电压,其电压的平均值(输出直流分量)为

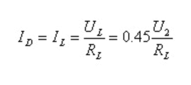
流过负载的平均电流为

流过二极管D的平均电流(即正向电流)为

加在二极管两端的最高反向电压为

半波整流电路简单,元件少,但输出电压直流成分小(只有半个波),脉动程度大,整流效率低,仅适用于输出电流小、允许脉动程度大、要求较低的场合。
半波整流利用二极管的单向导电性,在输入为标准正弦波的情况下,输出获得正弦波的正半部分,负半部分则损失掉。
免责声明:
文章内容转自互联网,不代表本站赞同其观点;
如涉及内容、图片、版权等问题,请联系2644303206@qq.com我们将在第一时间删除内容!